3S-PtdIns(3,4,5)P3, diC8
3S-PtdIns(3,4,5)P3, diC8
Product description
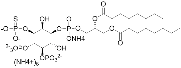
PtdIns(3,4,5)P3 3-phosphothioate, diC8 (3S-PtdIns(3,4,5)P3, diC8) is a water-soluble, synthetic PI(3,4,5)P3 analog in which the 3-phosphate has been rendered metabolically stable as a phosphorothioate.P-3S908 shows 90% inhibition of PTEN at 0.4µM.The product is only suitable for scientific research experiments and is not intended for human or clinical use.
| Appearance | N/A |
|---|---|
| Molecular weight | N/A |
| purity | N/A |
| Molecular formula | N/A |
| Storage | -20℃ protected from light and moisture |
| Transportation | 4-25℃temperature for up to 3 weeks |
| Stability | 1year |
Document
Related Product

Items-$0.00

Email:
Tel.:
msds----3S-PtdIns(3,4,5)P3, diC8
RuixiBiotechCo.Ltd /KamulinBiotechco.ltd
Add: Room 20F 2002, Meiyuan Building, Yanta District, Xi’ an City, Shaanxi Province 710061 China
Tel: 02988811435
Fax: (86-29)8881-1435
Email: sales@ruixibiotech.com
Web: http://www.ruixibiotech.com


