DPPG CAS:200880-41-7
1,2-Dipalmitoyl-sn-glycero-3-phosphoglycerol, sodium salt
Product description
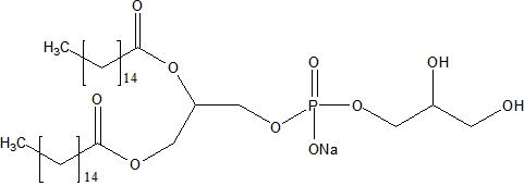
DPPG,Na, 1,2-Dipalmitoyl-sn-glycero-3-phosphoglycerol, sodium salt is a 16:0 PG containing 16:0 fatty acids at the sn-1 and sn-2 positions. The anionic phospholipid can make the liposome vesicles negatively charged, produce repulsion, keep the liposome stable, and be suitable for the liposome membrane of the polycystic liposome or the cationic drug.
| Appearance | White crystalline powder |
|---|---|
| Molecular weight | 744.97 |
| Molecular formula | C38H74O10PNa |
| CAS | 200880-41-7 |
| Purity | 99.0% |
| Solubility | 20mg/mL in a mixture of chloroform:methanol:water (1:1:0.3) |
| Storage | -20℃, protected from light and moisture |
| Transportation | 4-25℃ temperature for up to 3 weeks |
| Stability | 2 years |
Document
Related Product

Items-$0.00

Email:
Tel.:
MSDS of DPPG
RuixiBiotechCo.Ltd /KamulinBiotechco.ltd
Add: Room 20F 2002, Meiyuan Building, Yanta District, Xi’ an City, Shaanxi Province 710061 China
Tel: 02988811435
Fax: (86-29)8881-1435
Email: sales@ruixibiotech.com
Web: http://www.ruixibiotech.com


