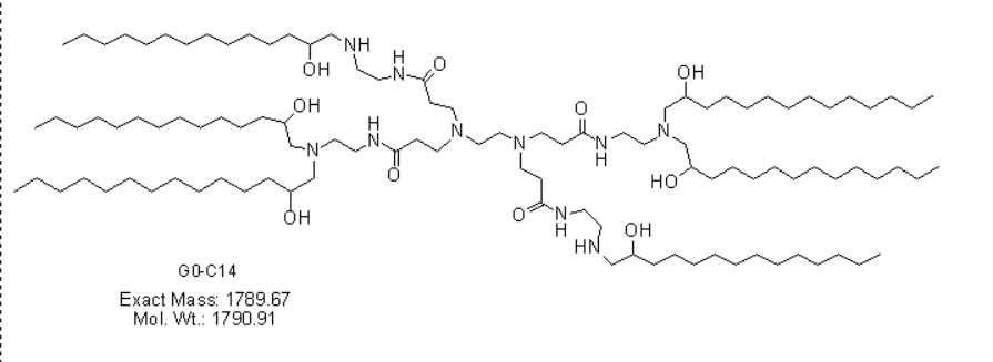
G0-C14 CAS:1510653-27-6
G0-C14
Product description
G0-C14 is a cationic lipid-like compound alkyl-modified polyamidoamine (PAMAM) dendrimer.The particles are composed of three parts:outer peg surface,PLGA/G0-C14 layer,which play two roles:as a polymer matrix loaded with non-polar drugs,protecting and promoting siRNA molecules to stay in NP core and control drug release,and an aqueous inner core containing siRNA.
| Appearance | N/A |
|---|---|
| Molecular Weight | N/A |
| Purity | N/A |
| Solubility | N/A |
| Storage | -20℃, protected from light and moisture |
| Transportation | 4-25℃ temperature for up to 2 weeks |
| Stability | 1 year |
Document
Related Product

Items-$0.00

Email:
Tel.:
msds---G0-C14
RuixiBiotechCo.Ltd /KamulinBiotechco.ltd
Add: Room 20F 2002, Meiyuan Building, Yanta District, Xi’ an City, Shaanxi Province 710061 China
Tel: 02988811435
Fax: (86-29)8881-1435
Email: sales@ruixibiotech.com
Web: http://www.ruixibiotech.com


