molecularly imprinted polymers(MIPs)
molecularly imprinted polymers(MIPs)
Product description
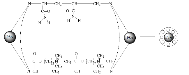
The preparation of molecularly imprinted polymers (MIPs) involves the formation of reversible complexes between templates and functional monomers under certain conditions, followed by the addition of cross-linking agents to form polymers. After the template is removed, the polymer skeleton formed leaves binding sites that match the template. Due to its high affinity and selectivity, durability, and simple preparation, MIP has been applied in preparative chemical separation, solid-phase extraction, and sensing. It also has the ability to remove impurities and compounds from food and body fluids, and screen drugs.
| Appearance | N/A |
|---|---|
| Molecular weight | N/A |
| purity | N/A |
| Molecular formula | N/A |
| Storage | -20℃ protected from light and moisture |
| Transportation | 4-25℃temperature for up to 3 weeks |
| Stability | 1year |
Document
Related Product

Items-$0.00

Email:
Tel.:
msds----molecularly imprinted polymers(MIPs)
RuixiBiotechCo.Ltd /KamulinBiotechco.ltd
Add: Room 20F 2002, Meiyuan Building, Yanta District, Xi’ an City, Shaanxi Province 710061 China
Tel: 02988811435
Fax: (86-29)8881-1435
Email: sales@ruixibiotech.com
Web: http://www.ruixibiotech.com


