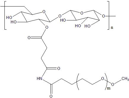
mPEG-Dextran
methoxy polyethylene glycol-Dextran
| Catalog # | Pkg Size | Price(USD) | Quantity | Buy this product |
|---|---|---|---|---|
| R-PL2010 | 500mg | 500.00 | + Add to cart |
|
| R-PL2010 | 1g | 850.00 | + Add to cart |
|
|
||||
Product description
mPEG-Dextran,methoxy polyethylene glycol-Dextran is an AB block copolymer, Dextran is a Medicinal polysaccharidepolymer can be used for drug delivery systems
| Appearance | Off-white/brown solid or viscous liquid depends on molecular weight |
|---|---|
| MW of PEG | 1000,2000,3400,5000,10000 Dalton |
| PDI by GPC | N/A |
| Solubility | very high in Chloroform dichloromethane water PBS DMF,DMSO |
| Transportation | 4-25℃ temperature for up to 2 weeks |
| Stability | 12 months |
Document
Related Product

Items-$0.00

Email:
Tel.:
MSDS of mPEG-Dextran
RuixiBiotechCo.Ltd /KamulinBiotechco.ltd
Add: Room 20F 2002, Meiyuan Building, Yanta District, Xi’ an City, Shaanxi Province 710061 China
Tel: 02988811435
Fax: (86-29)8881-1435
Email: sales@ruixibiotech.com
Web: http://www.ruixibiotech.com


