POLY(L-ARGININE HYDROCHLORIDE)- AZIDE
POLY(L-ARGININE HYDROCHLORIDE)- AZIDE
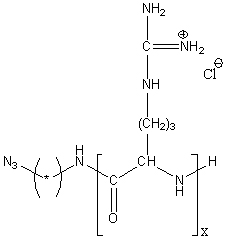
Product description
Poly(L-arginine hydrochloride) azide refers to a polymer compound that contains the amino acid L-arginine bound to a hydrochloride salt and modified with an azide functional group.The polymer has been explored for various applications such as cell penetration enhancement, antimicrobial activity, and drug delivery systems.
| Appearance | N/A |
|---|---|
| Molecular weight | N/A |
| purity | >95% |
| PDI by GPC | N/A |
| Storage | -20℃ protected from light and moisture |
| Transportation | 4-25℃temperature for up to 3 weeks |
| Stability | 1year |
Document
Related Product

Items-$0.00

Email:
Tel.:
msds----POLY(L-ARGININE HYDROCHLORIDE)- AZIDE
RuixiBiotechCo.Ltd /KamulinBiotechco.ltd
Add: Room 20F 2002, Meiyuan Building, Yanta District, Xi’ an City, Shaanxi Province 710061 China
Tel: 02988811435
Fax: (86-29)8881-1435
Email: sales@ruixibiotech.com
Web: http://www.ruixibiotech.com


