X
Email:
sales@ruixibiotech.com

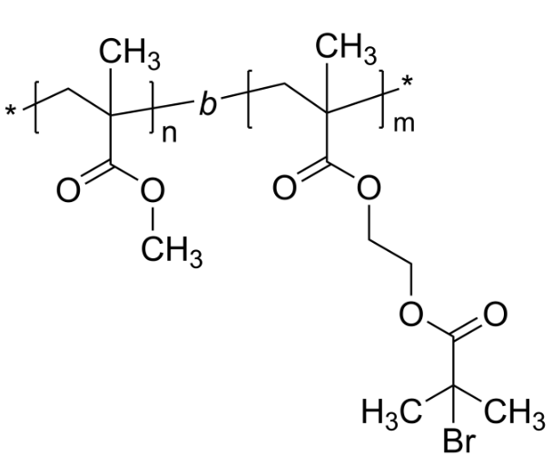
POLY(METHYL METHACRYLATE)-B-POLY(2-[2-BROMOISOBUTYRYLOXY]-ETHYL METHACRYLATE)

POLY(METHYL METHACRYLATE)-B-POLY(2-[2-BROMOISOBUTYRYLOXY]-ETHYL METHACRYLATE)

Catalog # Pkg Size Price(USD) Quantity Buy this product
R-C-6384 1g 485.00
- +
+ Add to cart
R-C-6384 2g 785.00
- +
+ Add to cart
R-C-6384 5g 1480.00
- +
+ Add to cart

Product description

Poly(methyl methacrylate)-b-Poly(2-[2-bromoisobutyryloxy]-ethyl methacrylate) is a block copolymer consisting of poly(methyl methacrylate)(PMMA)and poly(2-[2-bromoisobutyryloxy]-ethyl methacrylate)connected in a linear fashion.PMMA is a transparent thermoplastic with excellent optical properties and impact resistance.On the other hand,poly(2-[2-bromoisobutyryloxy]-ethyl methacrylate)is a specialized methacrylate polymer containing bromine and an ester group.

POLY(METHYL METHACRYLATE)-B-POLY(2-[2-BROMOISOBUTYRYLOXY]-ETHYL METHACRYLATE)

Appearance N/A
Molecular weight N/A
purity N/A
PDI by GPC N/A
Storage -20℃ protected from light and moisture
Transportation 4-25℃temperature for up to 3 weeks
Stability 1year
Document

Related Product