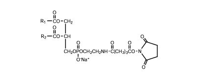
POPE-NHS
N-(Succinimidyloxy-glutaryl)-L-α-phosphatidylethanolamine, 1-Palmitoyl-2-oleoyl
Product description
N-(Succinimidyloxy-glutaryl)-L-α-phosphatidylethanolamine, 1-Palmitoyl-2-oleoyl,POPE-NHS from ruixi.Ruixi is a biotechnology company. Our company focuses on the production and sales of scientific research level drug delivery and drug nano targeting products. At present, our products mainly include synthetic phospholipids, PEG derivatives, block copolymers, nano gold, magnetic nanoparticles, mesoporous silica, reactive fluorescent dyes, fluorescent quantum dots, click chemistry and macrocyclic ligands.
| Appearance | N/A |
|---|---|
| Molecular weight | 951.2 |
| Purity | >95% |
| Solubility | organic solvents |
| Transportation | 4-25℃ temperature for up to 2 weeks |
| Storage | -20℃ protected from light and moisture |
| Stability | 1 year |
Document
Related Product

Items-$0.00

Email:
Tel.:
MSDS of POPE-NHS
RuixiBiotechCo.Ltd /KamulinBiotechco.ltd
Add: Room 20F 2002, Meiyuan Building, Yanta District, Xi’ an City, Shaanxi Province 710061 China
Tel: 02988811435
Fax: (86-29)8881-1435
Email: sales@ruixibiotech.com
Web: http://www.ruixibiotech.com


