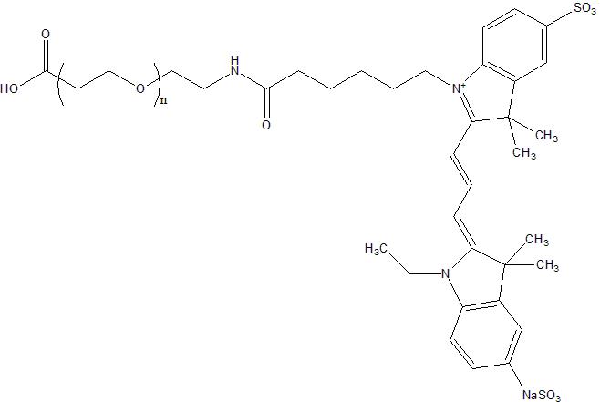
Sulfo-CY3-PEG-COOH
Sulfo-Cyanine3-Polyethylene glycol-carboxyl
| Catalog # | Pkg Size | Price(USD) | Quantity | Buy this product |
|---|---|---|---|---|
| R-2210 | 10mg | 220.00 | + Add to cart |
|
| R-2210 | 20mg | 350.00 | + Add to cart |
|
| R-2210 | 50mg | 600.00 | + Add to cart |
|
|
||||
Product description
Sulfo-Cyanine3-Polyethylene glycol-carboxyl, CY3-PEG-COOH from RuixiBio is a linear heterobifunctional PEG reagent with a Cyanine3 dye and COOH group, It has a good water solubility, maximum absorption 550 nm and emission 570 nm, this reagent can be used for the labeling of amine-groups in peptides, proteins, and oligonucleotides
| Appearance | Dark red solid or viscous liquid depends on molecular weight |
|---|---|
| PEG Molecular Weight | 350/550/750/1000/2000/3400/5000/10000 |
| Substitution of Sulfo-Cyanine3 by NMR | >90% |
| Substitution of COOH by NMR | >90% |
| Reactive Group | COOH can react with NH2,Hydrazide |
| Solubility | Water |
| Storage | -20℃, protected from light and moisture |
| Transportation | 4-25℃ temperature for up to 3 weeks |
| Stability | 12 months |
| Ex/Em | 550nm-570nm |
Document
Related Product

Items-$0.00

Email:
Tel.:
MSDS of Sulfo-CY3-PEG-COOH
RuixiBiotechCo.Ltd /KamulinBiotechco.ltd
Add: Room 20F 2002, Meiyuan Building, Yanta District, Xi’ an City, Shaanxi Province 710061 China
Tel: 02988811435
Fax: (86-29)8881-1435
Email: sales@ruixibiotech.com
Web: http://www.ruixibiotech.com


