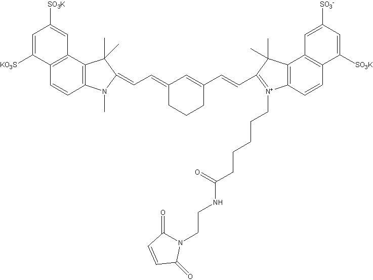
Sulfo Cyanine7.5 Maleimide
Sulfo Cyanine7.5 Maleimide
| Catalog # | Pkg Size | Price(USD) | Quantity | Buy this product |
|---|---|---|---|---|
| R-H-3065 | 10mg | 890.00 | + Add to cart |
|
| R-H-3065 | 25mg | 1300.00 | + Add to cart |
|
| R-H-3065 | 50mg | 2000.00 | + Add to cart |
|
|
|
||||
Product description
Sulfo-Cyanine7.5 maleimide is a water-soluble fluorescent dye.
| Appearance | dark colored solid |
|---|---|
| CAS Number | N/A |
| Molecular Weight | 1164 |
| Ex/Em | 775/800nm |
| Solubility | Water |
| Purity | >98% |
| Storage | -20℃, protected from light and moisture |
| Transportation | 4-25℃ temperature for up to 2 weeks |
| Stability | 1 years |
Document
Related Product

Items-$0.00

Email:
Tel.:
COA of Sulfo Cyanine7.5 Maleimide
RuixiBiotechCo.Ltd /KamulinBiotechco.ltd
Add: Room 20F 2002, Meiyuan Building, Yanta District, Xi’ an City, Shaanxi Province 710061 China
Tel: 02988811435
Fax: (86-29)8881-1435
Email: sales@ruixibiotech.com
Web: http://www.ruixibiotech.com


