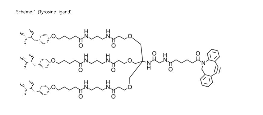
Tri-L-Tyrosine-DBCO
Tri-L-Tyrosine-Dibenzocyclooctyne
Product description
Tri-L-Tyrosine-DBCO/Tri-L-Tyrosine-Dibenzocyclooctyne is a bioorthogonal coupling reagent designed for site-specific labeling or surface modification of azide-bearing biomolecules.The trityrosine unit provides biocompatibility and potential antioxidant or aromatic interaction properties, while DBCO allows for fast, metal-free click reactions.
Applications:
Click chemistry bioconjugation with azide-modified proteins, peptides, or polymers.
Surface functionalization of nanoparticles, liposomes, or hydrogels.
Fluorescent or functional probe construction via DBCO–azide coupling.
Peptide–nanomaterial interface or enzyme labeling studies.
| Appearance | N/A |
|---|---|
| Molecular weight | N/A |
| Solubility | N/A |
| Molecular formula | N/A |
| Storage | -20℃, protected from light and moisture |
| Transportation | 4-25℃ temperature for up to 1-3 weeks |
| Stability | 1 year |
Document
Related Product

Items-$0.00

Email:
Tel.:
msds of Tri-L-Tyrosine-DBCO
RuixiBiotechCo.Ltd /KamulinBiotechco.ltd
Add: Room 20F 2002, Meiyuan Building, Yanta District, Xi’ an City, Shaanxi Province 710061 China
Tel: 02988811435
Fax: (86-29)8881-1435
Email: sales@ruixibiotech.com
Web: http://www.ruixibiotech.com


